Table of Contents
[ Welcome ][ Group ][ Research ][ Publications ][ CV ][ MISC ][ My Christian Blog ]
Research Notes & Project & Ideas 2015/2016
The following lists contains active research questions in my personal research and that of my group members. This is the state of 2015/2016.
Research Levels
The projects range from applied research to pure research. I believe that it is important to have <hi lightblue>all levels of research</hi> active in a society and it is my key interest to link them, to use very pure research in applications and to let applications inspire very basic questions and research topics.
For this very reason I have not separated the projects into pure or applied - though the communities active
in the different areas and their style to write, to argue and to publish are quite different.
A
- Multiscale Data Assimilation - with Aamir Nadeem [PHD Project]
- Model Approximations and Model Diagnostics in Data Assimilation Cycles - with Babatunde Odunuga [PHD Project]
- Mathematical Analysis of Multistep Data Assimilation - with Perianez, Reich, Schraff, Rhodin
- Assimilating Satellite Cloud Product in an Ensemble Data Assimilation for NWP - with Schomburg and Schraff
- <hi>Orthogonality Sampling/ Direct Sampling and inverting the Volume Bessel Potential - RP</hi>



Original and reconstruction by direct sampling with volume Bessel potential inversion
from a far field pattern of uniform sources
located in the rectangle, here using 7 different frequencies (left), using four frequencies between
wavenumber 1.5 and 2.5, one incident field only (right). This is work in progress.
B
- GPS Slant Delay Operator - with Michael Bender et al.
- GPS Tomography Algorithms - with Michael Bender et al
- Particle Filter for Large Scale Problems in NWP - with Schraff, Rhodin, Reich
- SEVIRI infrared radiance assimilation for convective models - with Otkin, Perianez et al.
- Mathematical Analysis for Ensemble Kalman Filter Convergence Questions - with Perianez et al. [PHD Project - completed]
C
- Data Assimilation in Neural Field and Neural Mass Models - with Ingo Bojak
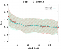
- Radar data assimilation in convective models - with Theresa Bick et al.


Radar Data Assimilation based on an Ensemble Kalman Filter in a Convection Permitting Model with Rapid Update Cycle. We show the influence on the cycling frequency on the fractional skill score. Here, for the 4d-Version of the LETKF, lower update rates lead to better fractional skill skores after one hour of forecast.(left) Further, we compare latent heat nudging with full Volume Radar assimilation (right) - they were of comparable quality in these experiments. The experiments have been carried out by Bick et al.
- Kilometer Scale Ensemble Data Assimilation (KENDA) - with Schraff, Reich, Rhodin et al. [under review]
- Diagnostics for Ensemble Data Assimilation Systems - with Dora Föhring, Rhodin and Köpken-Watts
- Wind Power Assimilation OSSE - with Stefan Declair, Annika Schomburg et al.
D
- Ensemble Data Assimilation for the ICON Model (IEDA) - with Ana Fernandez et al.
- Inverse Problems for Delay Neural Field Equations - with Jehan Alswailhi [PHD project]
- Ensemble Methods for Inverse Scattering Problems - with Quaz Muhammad Zaigham Zia
- Photovoltaic Measurement Assimilation for Energy Applications - with Annika Schomburg et al.
- <hi>Data Assimilation for Cognitive Structures</hi> - RP

ICON Global data assimilation model grid with NEST over Europe.
